こんばんは。
GST、なんで売られてるんだろう。
— じゅん@投資家志望 (@jun_0017) 2022年6月1日
STEPNを4月から初めて7週間目となりますが、トークンとして頂けるGSTが下がり続けています。一時は1日歩いて10,000円だったのに、1,000円ちょっとに。通勤時に歩いているだけでお金がもらえるだけでもすごいことなんですが、まだまだ含み損状態なのでもうしばらく続いてもらわないと・・・(笑)。
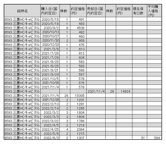
さてさて、単元未満株の注文を行いました。5月は結局月初の1回のみしか追加購入を行わなかったんですね。しばらく含み損推移をしていましたが、ようやく反転してきた三菱HCキャピタル(8593)を今回も追加購入です。
いつものように記録します。
1株(単元未満株)から始める株式投資戦略
FIREを目指すモノさんの 高配当・増配株で目指せFIRE|~銘柄分析を詳細に行いオススメ銘柄を解説します~ というサイトで紹介されていた銘柄分析ツールを参考にしています。
・10年連続増配銘柄の配当利回りランキングの中から4.0%以上の銘柄に投資
・配当金はすべてSBI証券内で再投資
・毎月最低1株は購入する
三菱HCキャピタル(8593)を追加購入

今回も三菱HCキャピタルに2株の追加注文です。

三菱HCキャピタルは金融サービス会社。機器・設備、航空機・船舶、オフィスビルなどをリースする。世界各地で事業を展開。

三菱HCキャピタルは今日の時点で49株保有しています。金曜日の前場の寄りで2株約定、51株の保有になる予定です。ようやく単元株への折返し地点となりました。
毎回、買い付け手数料は後日キャッシュバックで戻ってくるので、気にせず小さい単位で購入しています。基本的に売却しないので単元未満株での売却手数料は考えず、NISAでせっせと保有株数を増やしていきます。
単元未満株の配当利回り

(参照/43juni:ポートフォリオ見える化サービス )
保有銘柄は8銘柄、引き続きコツコツ投資を進めていきます。
単元未満株はSBI証券ならキャッシュバックで実質買付手数料無料です